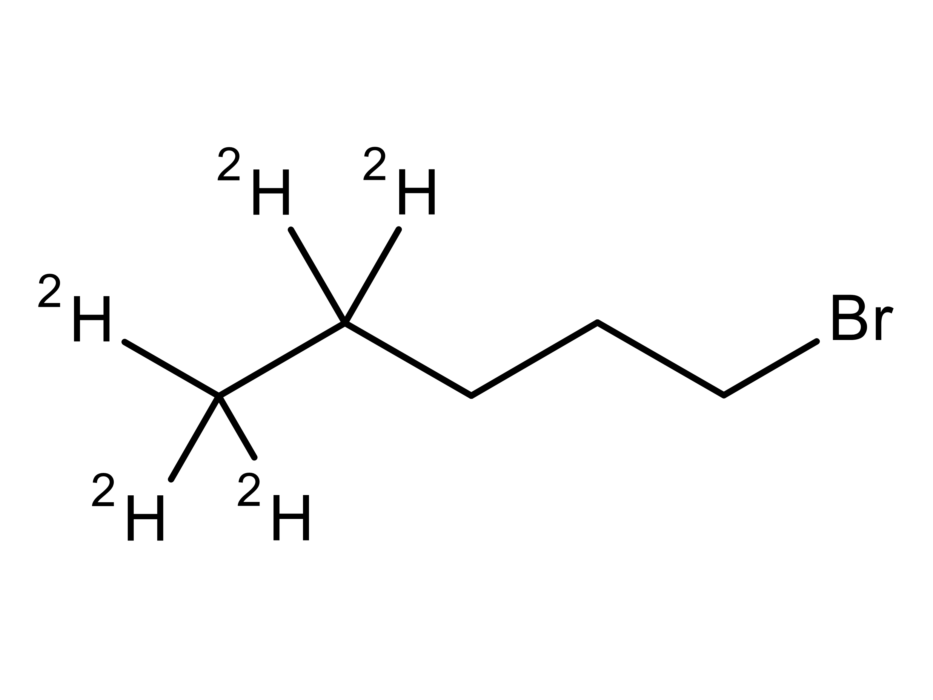
1-Bromopentane-4,4,5,5,5-d5, CAS [[83418-34-2]]
Artikelnummer:
LGC-CDN-D-6629
| Artikelname: |
1-Bromopentane-4,4,5,5,5-d5, CAS [[83418-34-2]] |
| Artikelnummer: |
LGC-CDN-D-6629 |
| Hersteller Artikelnummer: |
CDN-D-6629 |
| Alternativnummer: |
LGC-CDN-D-6629-0.5G,LGC-CDN-D-6629-1G |
| Hersteller: |
CDN |
| Kategorie: |
Biochemikalien |
| Alternative Synonym: |
Pentane-1,1,1,2,2-d5, 5-bromo- (9CI), 1-Bromopentane-4,4,5,5,5-d5, 5-Bromopentane-1,1,1,2,2-d5, 1-Bromo-4,4,5,5,5-pentadeuteriopentane, 1-Bromopentane-d5, 1-Bromopentane-4,4,5,5,5-D5 |
| Molekulargewicht: |
156.0757 |
| Reinheit: |
99 atom % D, min 98% Chemical Purity |
| CAS Nummer: |
[83418-34-2] |
| Formel: |
C5 D5 H6 Br |
|
CDN-D-6629 |