Voclosporin D Preis auf Anfrage
Artikelnummer:
TOR-V678590
| Artikelname: |
Voclosporin D Preis auf Anfrage |
| Artikelnummer: |
TOR-V678590 |
| Hersteller Artikelnummer: |
V678590 |
| Alternativnummer: |
TOR-V678590-1UNIT |
| Hersteller: |
Toronto Research Chemicals |
| Kategorie: |
Biochemikalien |
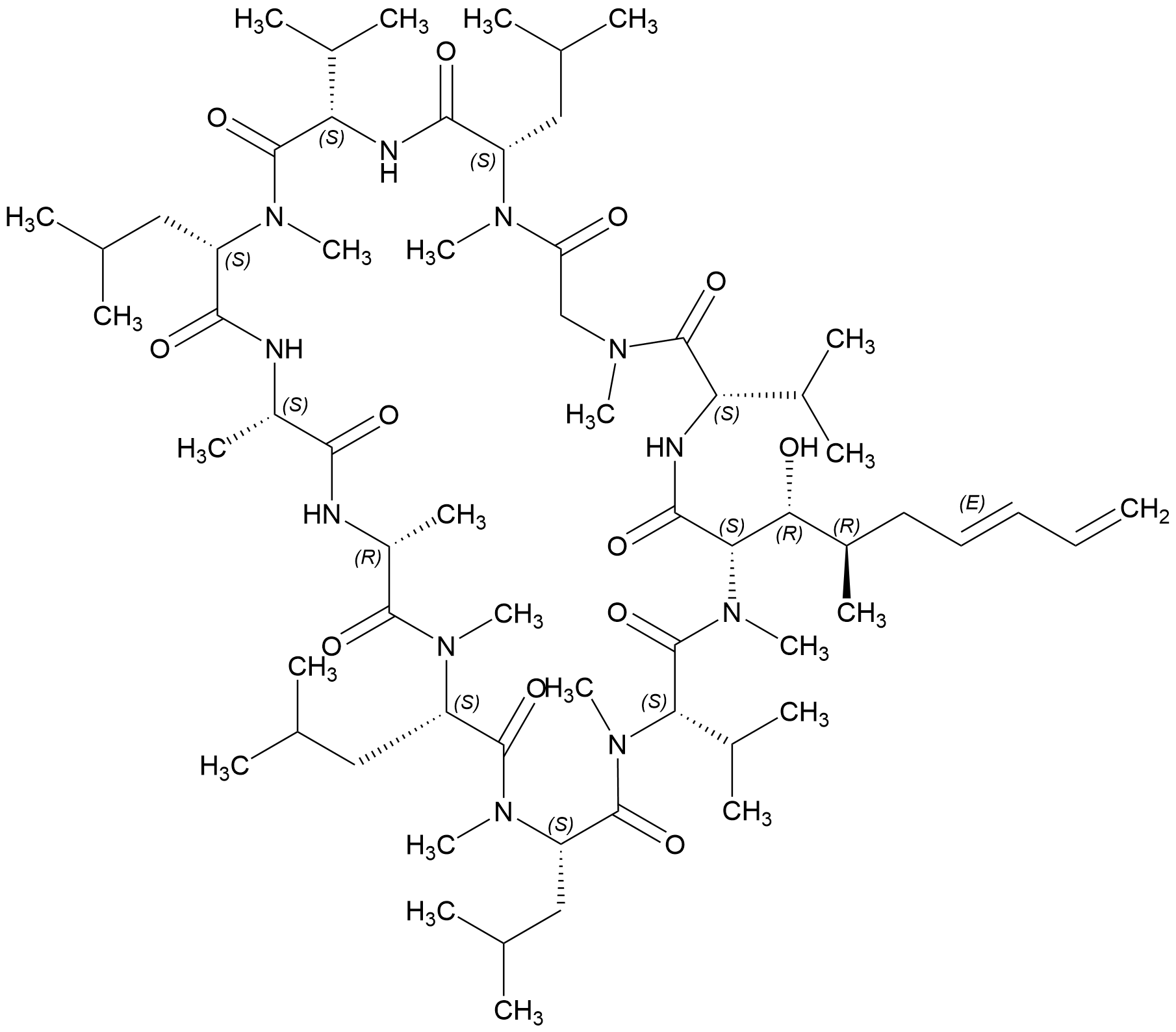
| Molekulargewicht: |
1228.64852 |
| Sequenz: |
O[C H]([C H](C)C/C=C/C=C)[C H](N(C([C H](C(C)C)N(C([C H](N(C)C([C H](CC(C)C)N(C)C([C H](C)NC([C H](NC([C H](CC(C)C)N(C)C([C H](C(C)C)NC([C H](CC(C)C)N(C)C(CN1C)=O)=O)=O)=O)C)=O)=O)=O)CC(C)C)=O)C)=O)C)C(N[C H](C(C)C)C1=O)=O |
| Formel: |
C64 H113 N11 O12 |
|
V678590 |