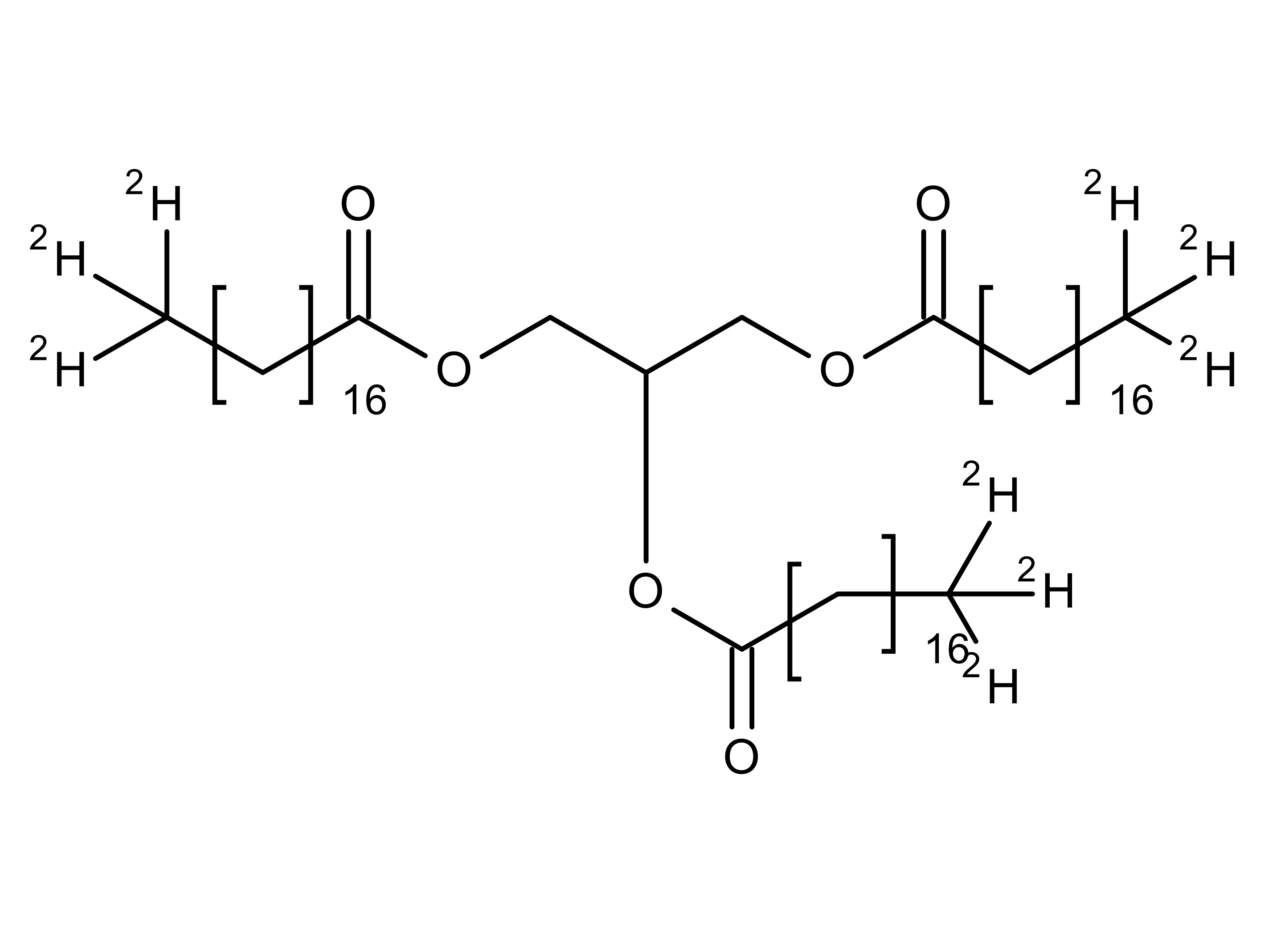
Glyceryl Tri(octadecanoate-18,18,18-d3), CAS [[285979-76-2]]
Catalog Number:
LGC-CDN-D-5361
| Article Name: |
Glyceryl Tri(octadecanoate-18,18,18-d3), CAS [[285979-76-2]] |
| Biozol Catalog Number: |
LGC-CDN-D-5361 |
| Supplier Catalog Number: |
CDN-D-5361 |
| Alternative Catalog Number: |
LGC-CDN-D-5361-0.05G,LGC-CDN-D-5361-0.1G |
| Manufacturer: |
CDN |
| Category: |
Biochemikalien |
| Alternative Names: |
Octadecanoic-18,18,18-d3 acid, 1,2,3-propanetriyl ester (9CI), Octadecanoic-18,18,18-d3 acid 1,2,3-propanetriyl ester, Glyceryl Tri(octadecanoate-18,18,18-d3), Glycerol trioctadecanoate-d9, Glyceryl tristearate-d9, Trioctadecanoin-d9, Tristearin-d9, Tristearin-D9 (tri(octadecanoyl-18,18,18-D3)) |
| Molecular Weight: |
900.5352 |
| Purity: |
99 atom % D, min 98% Chemical Purity |
| CAS Number: |
[285979-76-2] |
| Formula: |
C57 D9 H101 O6 |
|
CDN-D-5361 |