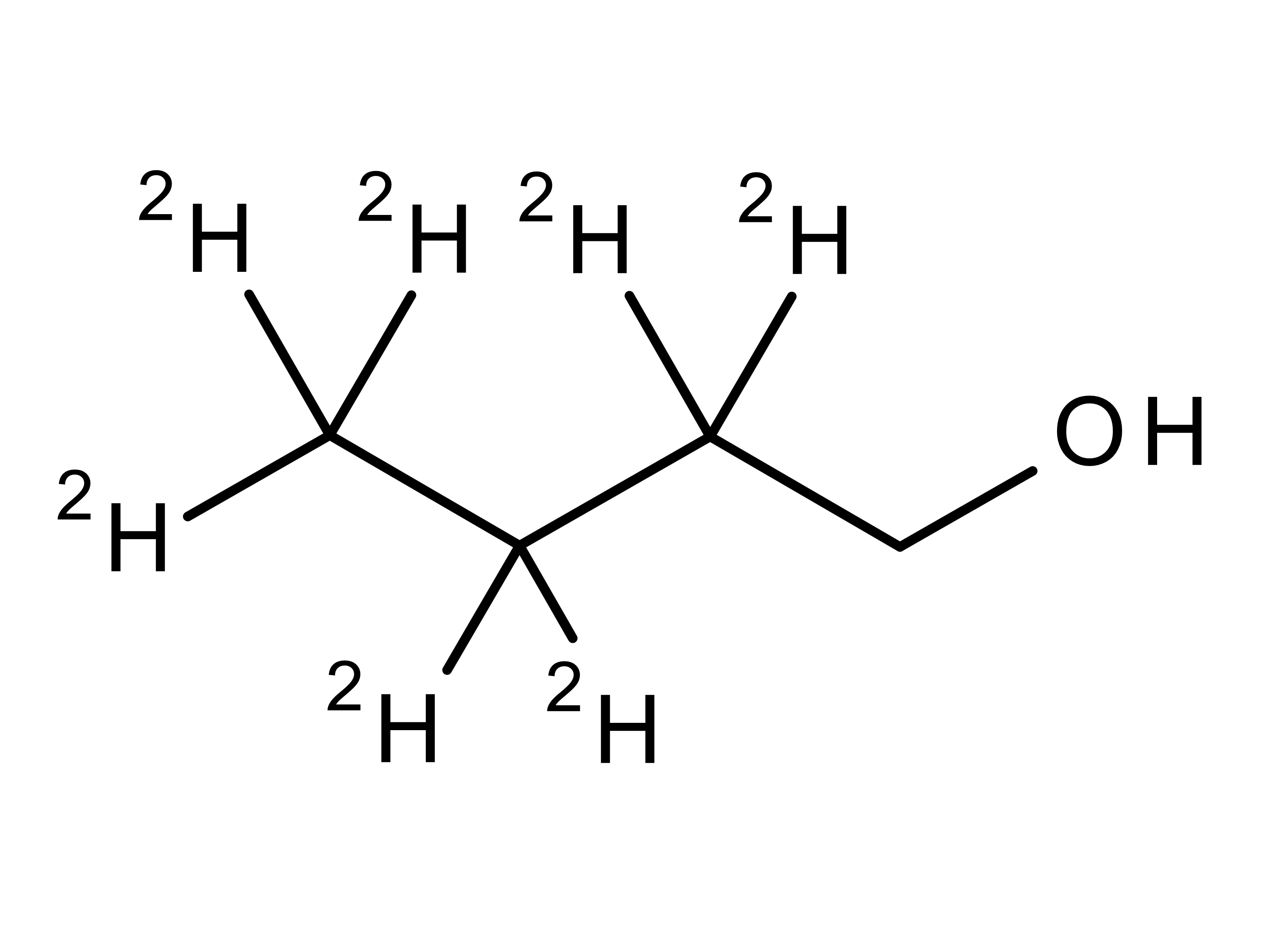
n-Butyl-2,2,3,3,4,4,4-d7 Alcohol, CAS [[91732-68-2]]
Catalog Number:
LGC-CDN-D-5537
| Article Name: |
n-Butyl-2,2,3,3,4,4,4-d7 Alcohol, CAS [[91732-68-2]] |
| Biozol Catalog Number: |
LGC-CDN-D-5537 |
| Supplier Catalog Number: |
CDN-D-5537 |
| Alternative Catalog Number: |
LGC-CDN-D-5537-0.5G,LGC-CDN-D-5537-1G |
| Manufacturer: |
CDN |
| Category: |
Biochemikalien |
| Alternative Names: |
1-Butan-2,2,3,3,4,4,4-d7-ol (9CI), Butyl-2,2,3,3,4,4,4-d7 alcohol, n-Butyl-2,2,3,3,4,4,4-d7 alcohol, 1-Butanol-2,2,3,3,4,4,4-D7 |
| Molecular Weight: |
81165 |
| Purity: |
98 atom % D, min 98% Chemical Purity |
| CAS Number: |
[91732-68-2] |
| Formula: |
C4 D7 H3 O |
|
CDN-D-5537 |